La derivada i el càlcul de límits. Regla de l'Hôpital

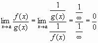
a) Siguin f(x) i g(x) dues funcions derivables en un entorn d'a.

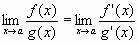
b) i

Llavors:

 

Demostració:

Si les funcions són derivables en un entorn d'a vol dir que són contínues en a o sigui:

i

 

Llavors (calculem el límit per la dreta):

 

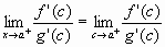
Per ser derivables f(x) i g(x) en un entorn d'a si agafem x suficientment proper a a es compleixen les condicions per satisfer el teorema de Cauchy la qual cosa implica que existeix un punt c entre x i a tal que:

Ara bé:

Si fem el mateix miran el límit quan x a- que procediriem de la mateixa manera acabariem de demostrar el teorema.

 




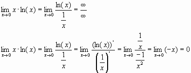
Exemple d'aplicació de la regla de l'Hôpital:

Calcular el .

 

 

Les funcions x - sin(x) i x són derivables al voltant de 0 (de fet ho són a pertot) per la qual cosa compleixen les condicions per poder aplicar la regla de l'Hôpital.

 




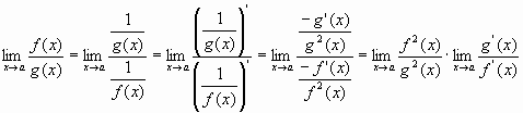
La regla de l'Hôpital també es pot aplicar en altres situacions: Límits del tipus

Suposem que tenim

Apliquem Hôpital

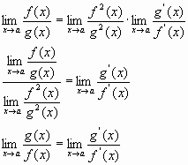
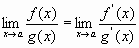
Que és el mateix que dir

 




Exemple d'aplicació de la regla de l'Hôpital en le cas d'un límit del tipus i també de :

 

Calcular el .

Però el podem canviar