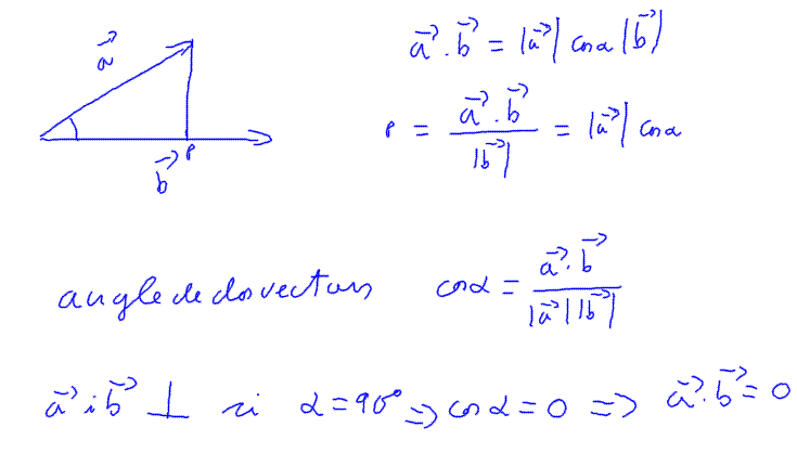
Projecció d'un vector sobre un altre. Angle entre dos vectors. Dos vectors són perpendiculars si el seu producte escalar val 0.