Asímptotes

Una funció pot tenir tres tipus d'a´simptotes: verticals, horitzontals i oblíqües.

 

Asímptotes verticals

Una funció tindrà una asímptota vertical en un punt a si

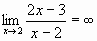
Exemple té una asímptota vertical en x = 2 ja que

Quan tenim una funció que sigui un quocient de polinomis un criteri per trobar les asímptotes verticals és veure quins valors anul·len el denominador i mirar que el límit quan x tendeix a aquest números doni

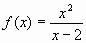
Així per exemple la funció:

té dos punts que anul·len el denominador x = -3 i x = 2

Si calculem per la qual cosa hi ha una asímptota vertical en el punt x = -3 i si calculem per la qual cosa no hi ha una asímptota vertical en el punt x = -3. El que hi ha és una discontinuïtat evitable.

 

 

Asímptotes horitzontals

Una funció tindrà una asímptota horitzontal si

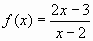
Exemple té una asímptota horitzontal la equació de la qual és y = 2 ja que

 

En aquest cas el lim quan f(x) tendeix a i quan tendeix a és el mateix, però en general cal calcular i ja que podria ser que les dues asímptotes no coincidissin o que en algun costat no n'hi hagués (o no n'hi hagués per cap costat.

La funció f(x) = ex té només una asímptota horitzontal, quan i

La funció f(x) = x2 no té cap asímptota horitzontal ja que i

 

Asímptotes oblíqües

Una funció tindrà una asímptota oblíqua (en cas de que no les tingui horitzontals) si s'acosta a una recta y = mx + n.

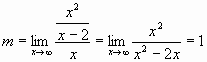
Per exemple la funció s'acosta a la funció y = x + 2 quan x tendeix a i a

 

 

Per trobar les equacions de les asímptotes, en cas de que en tingui (cal fer els límits quan tendeix a i a ), s'ha de calcular els següents límits. En cas de què el primer límit no existeixi vol dir que la funció no té asímptotes oblíques:

 

Exemple: per calcular l'asímptota oblíqua de l'anterior funció hem de calcular:

 

Així l'equació de l'asímptota oblíqua queda:

y = x + 2