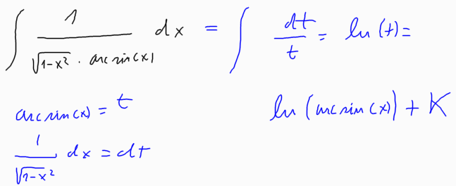
Exercicis de càlcul de la integral indefinida pel mètode de canvi de variable

18-