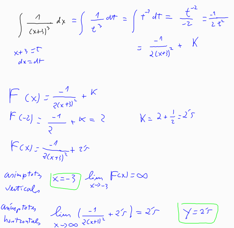
Exercicis de càlcul de la integral indefinida pel mètode de canvi de variable

20-Calcula les asímptotes verticals de la funció: