Exercicis de càlcul de la integral indefinida pel mètode de canvi de variable

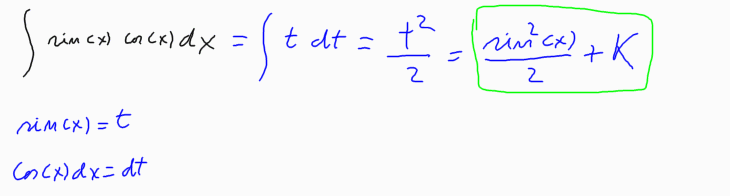
27-




Aquesta integral també és pot fer per parts.