Exercicis de càlcul de la integral indefinida pel mètode de canvi de variable

28-


Integral de la secant(x) (que és 1/sin(x))

Per calcular-la multipliquem i dividim per cosec(x) + cotag(x)


Aquesta integral la calculem amb le següent canvi de variable:


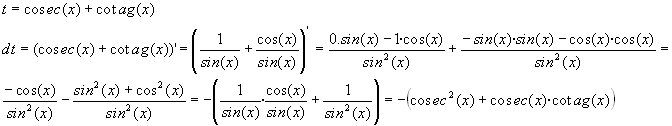
t és el que hi ha en el denominador i dt és el que hi ha en el numerador: