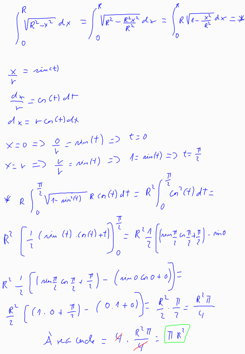
Exercicis d'aplicació de la integral definida

13-Calcula l'àrea d'un cercle de radi R.