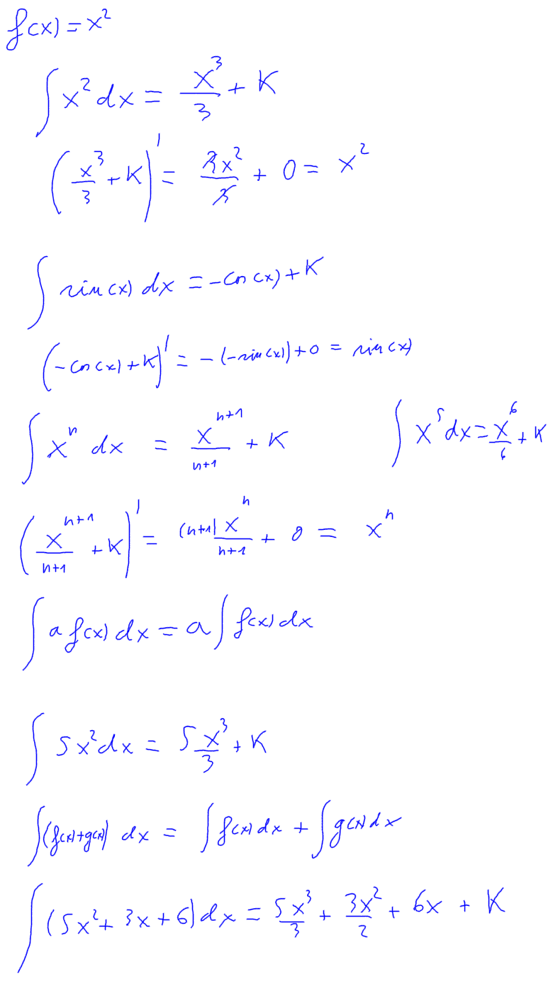
Càlcul de primitives, generalitats. Integral Indefinida