Creixement, decreixement, màxims i mínims relatius

1-Considera la funció f(x) = x2 -3x +5 i digues en quin punt de la seva gràfica la recta tangent forma un angle de 45º amb l'eix X. En aquest punt aquesta funció és creixent o decreixent?







2-En quins punts de la gràfica de la funció f(x) = x3 -6x2 +4 tenen tangent paral·lela al l'eix de les X?







3-Perquè la funció f(x) = 1/x és decreixent en tot el seu domini?







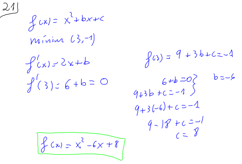
4-La gràfica de la funció f(x) = x2 +bx + c té un mínim ene l punt (3, -1). Calcula b i c.