2.       

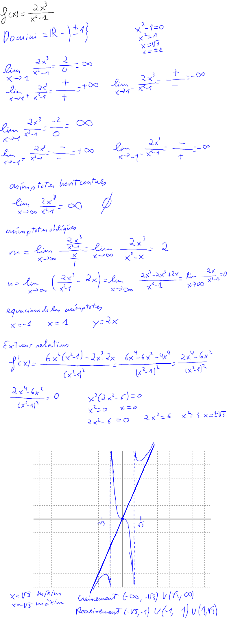
(2009-setembre-1) 5. Considereu la funció real de variable real .

a) Trobeu-ne el domini.

b) Calculeu l'equació de les seves asímptotes, si en té.

c) Estudieu-ne els intervals de creixement i de decreixement, així com les abscisses

dels seus extrems relatius, si en té, i classifiqueu-los.

[0,5 punts per l'apartat a; 1,5 punts per l'apartat b; 2 punts per l'apartat c]