Per demostrar que és un màxim el que farem és calcular la imatge en el candidat a ser màxim i a dos punts a la seva esquerra i a la seva dreta. Veiem que la imatge de l'extrem és positiva i les imatges Àrea(m) = 0 i Àrea(0) = 0 com que les imatges dels costats són més petites que la imatge de l'extrem, aquest extrem és un màxim.



Ho hem fet així ja que això és més senzill que fer-ho a través del càlcul de la segona derivada i calcular el signe de la mateixa.

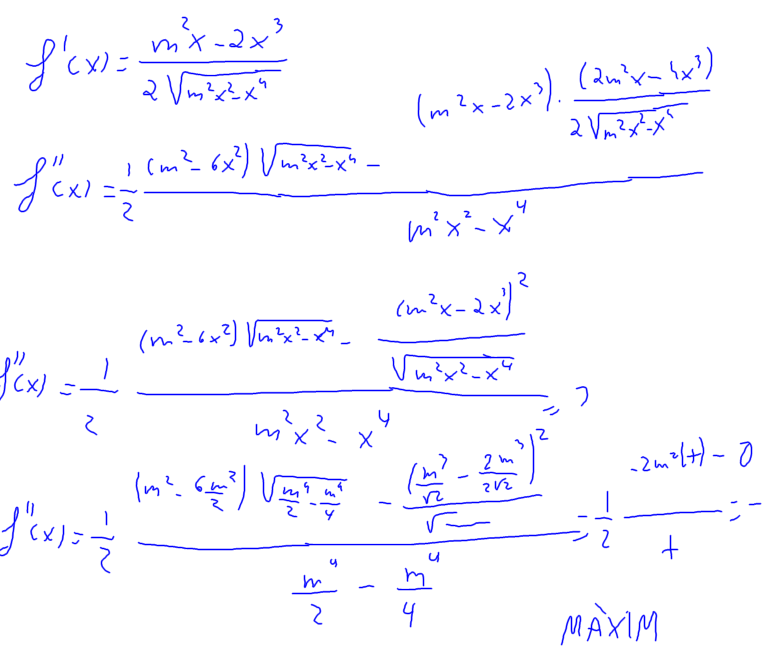
Tot i així a continuació comprovarem que és un màxim calculant la segona derivada. Recordem que no cal saber el valor de la segona derivada, només cal calcular el signe.