8.       

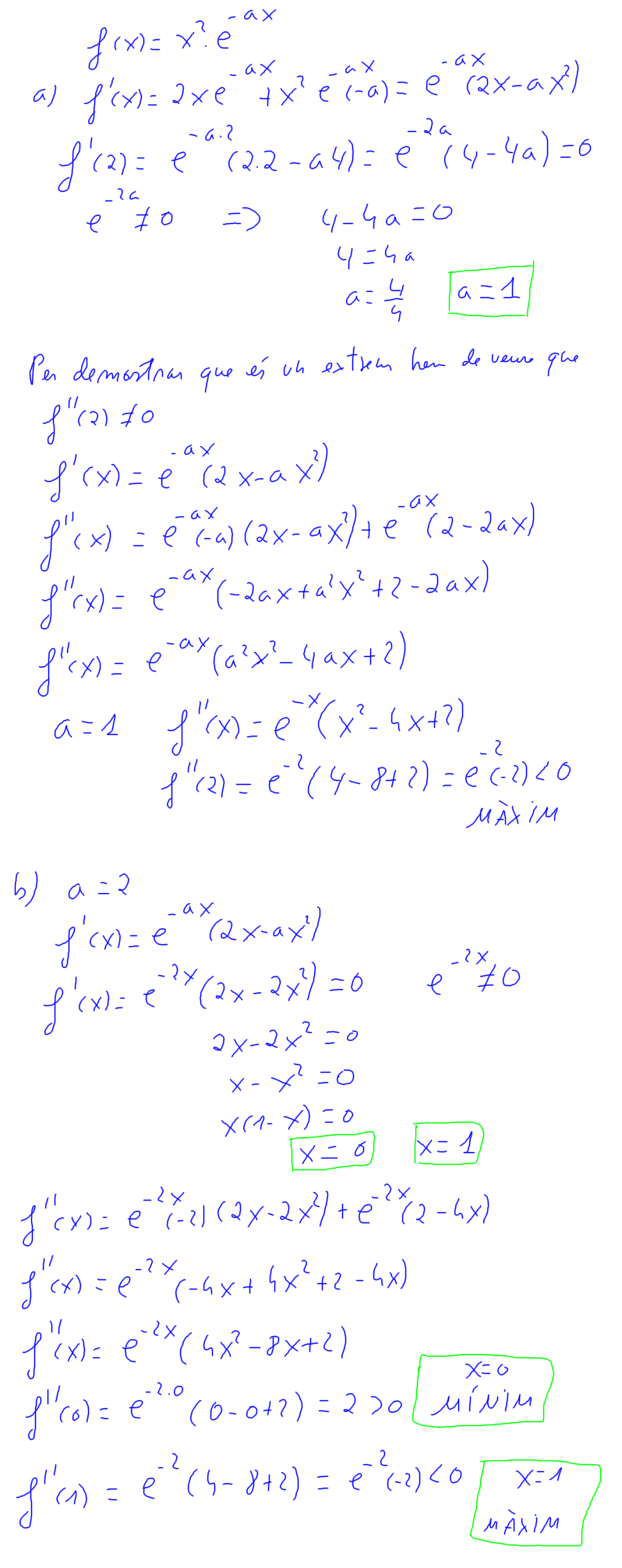
(2011-juny-1) 6. Sigui f (x)=x2 · e-ax quan a≠0.

a) Calculeu el valor de a perquè aquesta funció tingui un extrem relatiu en el punt

d'abscissa x=2.

b) Quan a=2, classifiqueu-ne els extrems relatius.

[1 punt per cada apartat]