Recull d'exercicis de selectivitat. Integral Definida

3.       

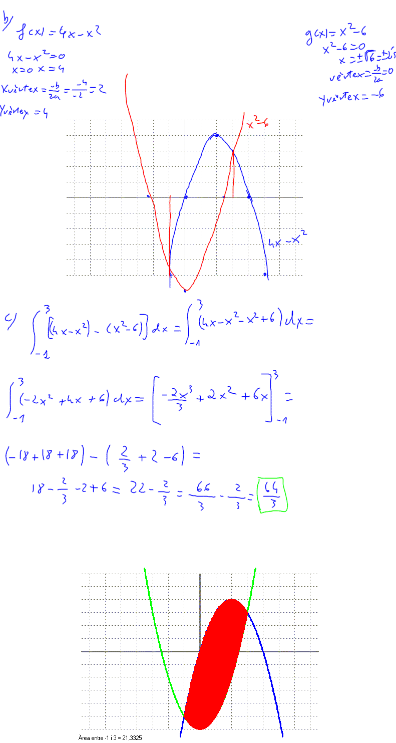
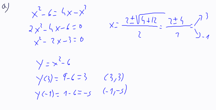
(2009-juny-3) 2. Considereu les corbes y = 4x - x2 i y = x2 - 6.

a) Trobeu-ne els punts d'intersecció.

b) Representeu les dues corbes en una mateixa gràfica, on es vegi clarament el

recinte que limiten entre elles.

c) Trobeu l'àrea d'aquest recinte limitat per les dues corbes.

[0,5 punts per l'apartat a; 0,5 punts per l'apartat b; 1 punt per l'apartat c]