Recull d'exercicis de selectivitat. Matrius

 

1.       

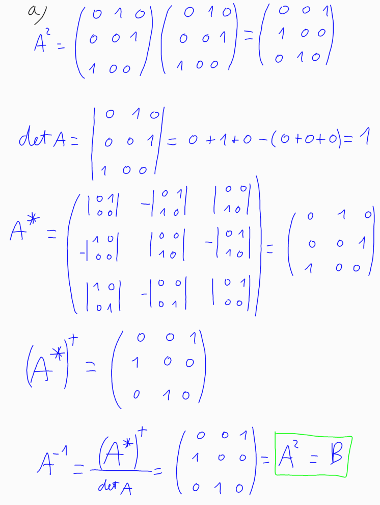
(2009-juny-4) 2. Siguin i .



a) Comproveu que la inversa de A és A2.

b) Comproveu també que A518 = B.

[1 punt per cada apartat]