Recull d'exercicis de selectivitat. Matrius

 

3.       

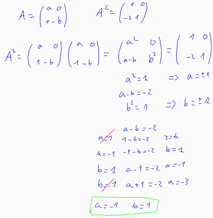
(2009-setembre-1) 1. Considereu la matriu . Calculeu el valor dels paràmetres a i b perquè.


[2 punts]