Recull d'exercicis de selectivitat. Matrius

 

4.       

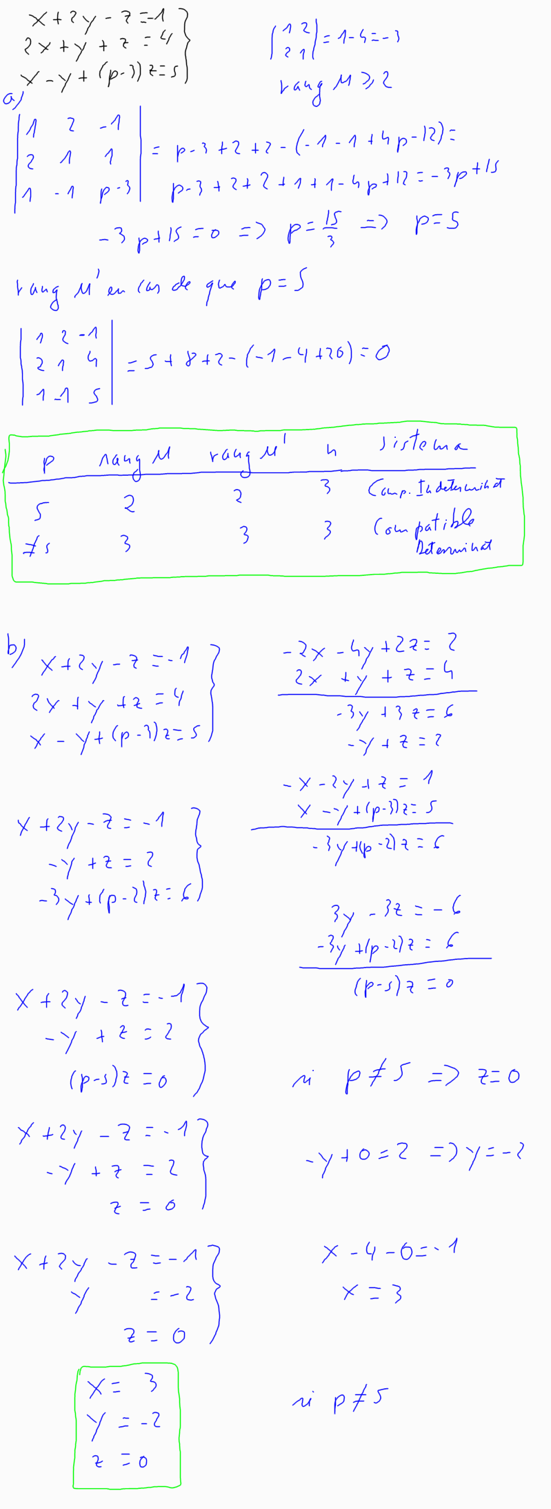
(2010-juny-1) 2. Donat el sistema d'equacions lineals :



a) Estudieu-ne el caràcter (és a dir, si és compatible o no i si és determinat o no) en

funció del paràmetre p.

b) Comproveu que si p ≠ 5 la solució del sistema no depèn del valor d'aquest paràmetre.

[1,5 punts per l'apartat a; 0,5 punts per l'apartat b]