Matemàtiques - 4 ESO - La funció exponencial. Logaritmes. La funció logarítmica





- Si un animal unicel·lular es reprodueix per bipartició cada hora, quants animals d'aquesta espècie tindrem al cap d'1, 2, 3, 4, 5, 6 hores? Dibuixa'n la gràfica. Escriu la fórmula de la funció que relaciona el nombre d'animals unicel·lulars amb el temps. Amb el programa funcions dibuixa la gràfica de la funció que acabes de trobar i compara-la amb la que havies construït a mà.



- Suposa que una persona té 1600€ i cada dia es gasta la meitat del que té. Calcula quants diners tindrà al cap de 6 dies. Quin dia tindrà menys de 150€? Escriu la fórmula de la funció que diu els diners que li resten en funció dels dies que van passant.



- Si tenim 100€ i els posem en un banc al 7% d'interés anual. Podries dir quants diners tindrem al cap d'un any?, al cap de 2?, de 3, 4, 5, 6, 7, 8, 9, 10, 20, 30, 40 (escriu una taula amb els resultats)? Dibuixa'n la gràfica. Sabries escriure la fórmula de la funció que relaciona els diners que tinc en el banc en funció del nombre d'anys transcorreguts? Amb el programa funcions dibuixa la gràfica de la funció que acabes de trobar i compara-la amb la que havies construït a mà. Si en el tema 1 no havies vist, The Most IMPORTANT Video You'll Ever See, ara és un molt bon altre moment per fer-ho.



- Si tenim un cotxe que val 10000 i se sap que cada any perd el 10% del seu valor, pots respondre a les mateixes preguntes que se't fan en el problema anterior? Què hi ha de semblant? Què hi ha de diferent?



- Amb l'ajuda del programa funcions:

a) Dibuixa en una gràfica les funcions f(x) = 2x, g(x) = 3x i h(x) = 4x.

b) Dibuixa en una gràfica les funcions f(x) = 0'5x, g(x) = 0'3x i h(x) = 0'2x.

c) Dibuixa en una gràfica la funció f(x) = 1x. Què hi observes?

d) Què creus que què passa amb la funció f(x) = (-2)x o amb la funció g(x) = (-0'25)x.

e) Les funcions que acabes d'estudiar, de la forma y = bx, se'n diuen funcions exponencials. Què ha de complir la base, b, i quina forma té la gràfica segons sigui el seu valor?



- Si el creixement de la població humana fos del 8% anual, podries explicar què passarà d'aquí 9 anys?



- Si cada any gastem el 5% del petroli que queda, pots calcular quant de petroli quedarà d'aquí 13 anys?



- Si, per exemple, una cosa augmenta el 10% anual, pots explicar una forma de saber quan el seu valor s'ha duplicat? i quan s'haurà triplicat?



- Poso 1000€ al 10% anual en un compte d'un banc quan el seu valor es duplicarà? i quan es triplicarà? Pots dibuixar la gràfica amb el programa funcions i fer servir l'opció antiimatge.







- Per resoldre els dos problemes anteriors ho hem hagut de fer d'una forma molt feixuga. Seria més interessant poder resoldre directament l'equació 1'10x = 2 sabent aïllar directament la x que està en l'exponent. Per això necessitem una nova eina matemàtica anomenada logaritme.

a) Sabries dir quina és l'exponent que he d'elevar 2 perquè doni 8, i 16, i 64, i 2, i 1, i 0'5, i 0'25, i 40 (sabries donar-ne una aproximació).

b) Sabries dir quina és l'exponent que he d'elevar 3 perquè doni 9, i 27, i 81, i 243, i 3, i 1, i 30 (sabries donar-ne una aproximació).

c) Sabries dir quina és l'exponent que he d'elevar 10 perquè doni 100, 1000, 1000000, 10, 1, 0'1, 0'001, 0'000001, i 20 (sabries donar-ne una aproximació).



- Calcula:

a) Logaritme en base 2 de 8, 16, 64, 2, 1, 0'5, 0'25, 40 (sabries donar-ne una aproximació).

b) Logaritme en base 3 de 9, 27, 81, 243, 3, 1, 30 (sabries donar-ne una aproximació).

c) Logaritme en base 10 de 100, 1000, 1000000, 10, 1, 0'1, 0'001, 0'000001, 20 (sabries donar-ne una aproximació).



- Fent servir la calculadora calcula els logaritmes en base 10 (decimals) de 100, 1000, 1000000, 10, 1, 0'1, 0'001, 0'000001, 20, 2014, -10, -100.



- Calcula el següent:

a) log(100), log(1000) i log(100000). Et faig notar que 100 · 1000 = 100000.

b) log2(8), log2(16) i log2(128). Recorda que 8 · 16 = 128.

c) log2(2), log2(128) i log2(256). Recorda que 2 · 128 = 256.

d) log3(27), log3(9) i log3(243). Recorda que 27 · 9 = 243.

e) log(10), log(100) i log(1000).

f) log5(25), log5(25) i log5(625).

g) log(1000), log(0'1) i log(100).

h) log(10000), log(0'001) i log(10).

i) log2(64), log2(0'5) i log2(32).

j) Dels càlculs que acabes de fer, en saps trobar una propietat en el càlcul del logaritme del producte?



- Calcula el següent:

a) log(1000), log(100) i log(10). Et faig notar que 1000 / 100 = 10.

b) log2(64), log2(2) i log2(32). Recorda que 64 / 2 = 32.

c) log2(256), log2(8) i log2(32).

d) log3(81), log3(9) i log3(9).

e) log(100), log(100) i log(1).

f) log5(625), log5(5) i log5(125).

g) log(100), log(100000) i log(0'001).

h) log(0'1), log(10) i log(0'01).

i) log2(8), log2(0'5) i log2(16).

j) Dels càlculs que acabes de fer, en saps trobar una propietat en el càlcul del logaritme d'una divisió?



- Calcula el següent:

a) log(10), log(103).

b) log2(2), log2(25).

c) log2(4), log2(64). Recorda que 43 = 64

d) log3(9), log3(81). Recorda que 92 = 81.

e) log(100), log(1004).

f) log3(27), log3(272).

g) log(10), log(0'01). Recorda que 10-2 = 0'01.

h) log(5), log(54). Aquets càlculs pots fer-los amb la calculadora.

i) log(4), log(1/16).

j) Dels càlculs que acabes de fer, en saps trobar una propietat en el càlcul del logaritme d'una potència?



- Escriu les fórmules les propietats (totes) que acabes de trobar. També escriu la fórmula del canvi de base.



- En un exercici anterior dèiem: Si una cosa augmenta el 10% anual, quant de temps trigarà a duplicar-se.
  • Una forma de calcular-ho seria anar calculant els diferents valors de V = 1'1t per a t = 1, 2, 3, ... fins que el resultat es dupliqui.

  • Una altra manera seria amb el programa funcions dibuixar la funció f(x) = 1'1x i cercar l'antiimatge del 2.

  • Però si coneixéssim els logaritmes en base 1'1 seria calcular el logaritme en base 1'1 de 2 i ja està. Com no tenim taules (ni la calculadora sap calcular logaritmes en base 1'1) podem resoldre l'equació així:
      Cal resoldre l'equació:

      1'1t = 2

      Apliquem logaritmes (decimals a cada costat):
      log(1'1t) = log(2)

      Com que els exponents poden passar davant del logaritme, per la propietat trobada en el problema anterior,

      t·log(1'1) = log(2)

      El temps cercat només és:

      t = log(2)/log(1'1)

      Ho sigui només cal fer aquest senzill càlcul per saber la resposta. Això que acabem de descobrir també s'anomena fórmula del canvi de base, permet calcular els logaritmes de qualsevol nombre a partir dels logaritmes en una base coneguda. Com la calculadora ens dóna logaritmes en base 10 i logaritmes en base e, s'ha acabat el problema.
a) Si una cosa augmenta el 10% anual, quant de temps trigarà a duplicar-se?.

b) Si una cosa augmenta el 10% anual, quant de temps trigarà a triplicar-se?.

c) Poso 1000€ al 10% anual en un compte d'un banc quan el seu valor es duplicarà?

d) Poso 1000€ al 5% anual en un compte d'un banc quant de temps trigarà en convertir-se en 1500€?

e) La població mundial, del dia 8 de setembre de 2014 a 2/4 de 6 de la tarda, era de 7.190.760.386 habitants. Si l'increment anual fos del 1'7%, quant trigarà el món a tenir 10.000.000.000 de persones?

f) Mira aquí la població d'avui. Calcula quin % ha crescut fins ara la població respecte el 8 de setembre de 2014 a 2/4 de 6 de la tarda.

g) Calcula de nou l'apartat e fent servir el resultat de l'apartat f.



- Una moto nova val 4500 €, si la seva desvalorització és del 25% anual. Quant de temps trigarà a valer 1000€? i 500€?.







- A mà, dibuixa la gràfica de la funció logaritme en base 2, f(x) = log 2(x). Podries dir quin és el seu domini, el seu recorregut, els punts de tall i explica el seu comportament.



- A mà, dibuixa la gràfica de la funció logaritme en base (1/2), f(x) = log (1/2)(x). Podries dir quin és el seu domini, el seu recorregut, els punts de tall i explica el seu comportament.



- Amb el programa funcions dibuixa les gràfiques de les funcions:

a) f(x) = log3(x)

b) g(x) = log0'3(x)

c) h(x) = log(x)

d) i(x) = ln(x)

e) f(x) = log0'1(x). Per dibuixar una funció logarítmica en una altra base podem fer servir la fórmula del canvi de base logb(x) = log(x) / log(b).

f) Podries explicar la diferència de comportament de les gràfiques segons el valor de la base?

g) Per què no demanem la funció logarítmica en base un nombre negatiu? o 0? o 1?



- Amb el programa funcions dibuixa les gràfiques de les funcions:

a) f(x) = log(x - 1)

b) g(x) = log(x + 2)

c) h(x) = log(x) - 3

d) i(x) = ln(x) + 1

e) f(x) = log2(x) - 3

f) Aquest comportament, al fer els canvis que acabem de fer, ja l'havíem vist en altres ocasions, que el pots explicar?







- Tornem a la funció exponencial. Pots explicar que tenen a veure les freqüències de les notes musicals amb la funció exponencial?



- Agafa la taula de l'exercici anterior, la que relacionava la octava amb la freqüència i fes una nova taula on a la `x` hi poses la `y` de la primera taula i a la `y` hi calcules el `log_2(x/55)`. Què obtens?



- Mirant els dos problemes anteriors veiem que la funció exponencial i la logarítmica estan d'alguna manera relacionades.

a) En el programa funcions i en una mateixa pantalla dibuixa f(x) = 2x i g(x) = log2(x). Què observes?

b) Fes el mateix que en l'apartat a f(x) = 10x i g(x) = log(x). Què observes?

c) Quan passa el que acabes d'observar, quina relació diem que tenen les dues funcions una respecte l'altra?

d) Dibuixa la següent composició de funcions log2(2x).

f) Dibuixa la següent composició de funcions log(10x).







- Calcula el valor de la incògnita x en les igualtats següents.

    a) `log_3 x=1`

    b) `log_x 36=2`

    c) `log x = 5`

    d) `log_x 5^3 = -3`

    e) `log_5 x=4`




- Desenvolupa les expressions següents fent servir logaritmes en base 10 utilitzant les propietats de les operacions amb logaritmes (exercici 16).

    a) `e = a^3 · b`

    b) `e = a/(b^3 · c^5)`

    c) `e = (a · b^(-2) · c^2)^3/(d^(-2) · f^3)`




- Si log 3 = t, escriu els següents logaritmes en funció de t.

    a) `log 9`

    b) `log 2700`

    c) `log (1/81)`

    d) `log 0'03`

    e) `log ((0'9)/(7'29))`

    f) `log (10^2/243)`




- Resol les següents equacions. Se'n diuen equacions exponencials perquè la x està a l'exponent. La forma de resoldre-ho és tractar de posar a cada costat dues potències amb la mateixa base. Si les bases són diferents caldrà posar logaritmes a cada costat.

    a) `5^x = 125`

    b) `8^(2x+3) = 4^x`

    c) `3^x = 30`

    d) `2^(x^2+1) = 32`

    e) `5^(2x) - 3 = 47`




- Resol les següents equacions. Se'n diuen equacions logarítmiques perquè la x està afectada per un logaritme. La forma de resoldre-ho és tractar de posar a cada costat dos logaritmes amb la mateixa base.

    a) ` log x + log(x-9) = 1`

      Nota: S'ha canviat perquè doni un resultat que faci l'exercici més entenedor.


    b) `log_2 x + log_2 (x - 2) = 3`


    c) `log_2 x^2 - log_2 (x - 3/4) = 2`


    d) `2 log x - 4 log 2 = 3 log x`


    e) `2 log x = 3 + log (x/10)`


    f) `ln 2 + ln(11 - x^2) = 2 ln(5 - x)`


    g) `3 log_2 x - 2 log_2 (x/3) = 2 log_2 3 + 1`











TAULA d'AMORTITZACIÓ

- Si mai necessites comprar una cosa, per exemple una casa, i no tens prou diners pots anar a una entitat financera (un banc per exemple) que et facin un préstec. El que es pacta és: D, els diners que et deixen, i la taxa d'interés anual que cobrarà el banc pel servei, el temps, t, normalment anys, que s'anirà tornant els diners més els interessos.

Si es fa un pagament cada any, s'anomena anualitat d'amortització a la quantitat que cal pagar al banc cada vegada de manera que al cap dels t anys que s'ha pactat es saldi tot el deute. Per calcular aquesta anualitat el professor t'explicarà com fer-ho o bé pots veure el següent vídeo:



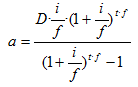
Al final del vídeo s'explica que no cal fer tot el procés de calcular l'anualitat d'amortització per aproximacions successives. Es pot calcular mitjançant la fórmula:


a) Fes un full de càlcul amb el Google Docs on hi hagi la taula d'amortització d'un préstec de 175000€ a tornar en 15 anys al 4% d'interés anual. Suma totes les quantitats abonades al banc i també els interessos que ha cobrat pel servei. Comparteix-lo amb el teu professor.

b) Normalment no es van tornant els diners d'un préstec cada any. S'acostuma a pagar un a quantitat cada mes anomenada mensualitat d'amortització. La fórmula per calcular cada mensualitat és la següent:
(f és la freqüència en que es paga cada any. Així si es paga cada mes, f = 12)


Fes un nou full de càlcul amb una taula d'amortització pel mateix capital anterior i en les mateixes condicions, però ara pagant cada mes en lloc de cada any. Suma totes les quantitats abonades al banc i també els interessos que ha cobrat pel servei. Comparteix-lo amb el teu professor.

Nota: En ambdós casos: Si en lloc de fer servir el full de càlcul del Google Docs ho fas en un full de càlcul convencional, Excel, OpenOffice Calc, etc. envia-lo per email al teu professor.



1'08^9 = 1,999004 0'95^13 = 0,513342