Matemàtiques 4t ESO - Exercicis de Funcions

Indica el domini de les funcions següents:

Solució:

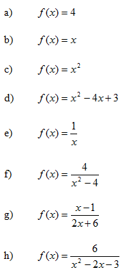
a)
`f(x) = 4`
    La imatge de qualsevol nombre real val 4, per la qual cosa tots els nombres reals tenen imatge. El domini són tots els R.




b)
`f(x) = x`
    La imatge de qualsevol nomre real és ell mateix, per la qual cosa tots els nombres reals tenen imatge. El domini són tots els R.




c)
`f(x) = x^2`
    La imatge de qualsevol nombre real és ell mateix al quadrat. Això és pot fer amb qualsevol nombre real. Per la qual cosa tots els nombres reals tenen imatge. El domini són tots els R.




d)
`f(x) = x^2-4x+3`
    Aquestes operacions es poden fer amb qualsevol nombre real. Per la qual cosa tots els nombres reals tenen imatge. El domini són tots els R.

    En general podem dir que qualsevol polinomi el seu domini són tots els R.




e)
`f(x) = 1/x`
    Aquí tenim un quocient. Això existeix sempre que no tinguem una divisió per 0, que no es pot fer.

    Per al qual cosa el domini serà: R - {0}

    En general hem de saber que quant tinguem un quocient de funcions, mai seran del domini els nombres que facin que el denominador sigui 0.




f)
`f(x) = 4/(x^2-4)`
    Aquí tornem a tenir un quocient. Ho sigui hem de trobar els nombres que facin que el denominador sigui 0. Aquestos nombres no seran del domini.

    Hem de resoldre l'equació:

      `x^2 - 4 = 0`

      `x^2 = 4`

      `x = sqrt(4)`

      x = 2 i x = -2

    Per al qual cosa el domini serà: R - {-2 , 2}




g)
`f(x) = (x-1)/(2x+6)`
    Aquí tornem a tenir un quocient. Fem el mateix que en el cas anterior.

    Cal resoldre l'equació:

      `2x + 6 = 0`

      `2x = -6`

      `x = -6/2`

      x = -3

    Per al qual cosa el domini serà: R - {-3}




h)
`f(x) = 6/(x^2-2x-3)`
    Aquí tornem a tenir un quocient. Fem el mateix que en els casos anteriors.

    Cal resoldre l'equació:

      `x^2-2x-3 = 0`

      `x = -1` i `x = 3`

    Per al qual cosa el domini serà: R - {-1 , 3}