Matemàtiques - 4 ESO - Reals


- Fes una redacció explicant el que llegeixes i/o entens de la següent fotografia.





-
a) Si un producte val 42€ sense IVA. Quant val amb IVA (21%)?
b) Si un producte val 36€ i ens fan un descompte del 25%, finalment quant hauré de pagar?




-Si un producte sense IVA val 83€ i m'hi fan un descompte del 15% quant hauré de pagar amb l'IVA inclòs. Què s'ha de fer primer treure el descompte o afegir-hi l'IVA?



-
a) El preu de venda d'un producte és 193,6 €. Quant val sense IVA?
b) He comprat un producte que m'ha costat 102 €. Quin és el preu inicial d'aquest producte si sé que m'han fet un 15% de descompte.




- Sabries dir quins valors anaven on hi ha els rectangles vermells del següent tiquet de super:





-Si el sou variés segons l'IPC i l'any 2012 una persona cobrava 2500€ al mes, quant cobrarà a l'any 2015 si l'IPC del 2012 va ser de l'1% el del 2013 -1'5% i el del 2014 del 0'75%?



- Classifica els següents nombres segons siguin naturals, enters, racionals, irracionals o reals. Cal dir tots els conjunts als quals pertanyen:





- Representa a la recta real els següents números:





- Representa a la recta real els següents números:





- Escriu-ho en forma d'interval i representa-ho a la recta real:





- Escriu-ho en forma de desigualtat i representa-ho:





- Escriu-ho en forma d'interval i representa-ho a la recta real:





- Escriu-ho en forma de desigualtat i representa-ho:





- Calcula sense fer servir la calculadora aproximant a les unitats l'arrel quadrada dels números següents:
9, 2, -4, 27, 68, 121, 150. En cas de que el resultat sigui exacte indica-ho.




- Calcula sense fer servir la calculadora aproximant a les unitats l'arrel cúbica dels números següents:
1, 30, -8, 27, 68, 125, 184. En cas de que el resultat sigui exacte indica-ho.




- Calcula amb la calculadora l'arrel quadrada dels següents nombres, aproxima fins les mil·lèsimes: 8, 64, 200, 1111111.




- Calcula amb la calculadora l'arrel cúbica dels següents nombres, aproxima fins les mil·lèsimes: 8, 72, 350, 200000.




- Calcula amb la calculadora l'arrel cinquena dels següents nombres, aproxima fins les mil·lèsimes: 14, 32, 100, 1000000.




- Recordant que la fórmula de l'interés compost és Cf = Co · (1+i)t. on Cf és el Capital Final, Co és el Capital Inicial i el tant per 1, o sigui el % dividit per 100, i t és el temps expressat en anys.
Calcula en quant es converteixen 750€ posats al 4% d'interés anual durant 8 anys. Quin són els interessos generats?.




- Fent servir la fórmula anterior, calcula l'i sabent que un capital de 1500€ que en 2 anys s'ha convertit en 1606,837€.




- A quin % (interés compost) s'ha de col·locar un capital de manera que en 10 anys el seu valor es dupliqui. (The Most IMPORTANT Video You'll Ever See).




- El dia (01/09/14) va sortir en els diaris una notícia sobre els diners de l'expresident Pujol dipositats en un banc andorrà. Això d'internet caduca, però sempre n'hi ha que ho guarden, CLICA AQUÍ. 7 milions que s'han convertit en 40, desde 1982 a 2014. Si el que diu la notícia fos cert. A quin % de mitjana hauria tingut en Jordi Pujol els diners de que parla la notícia en el banc andorrà. Pots fer servir la mateixa fórmula dels exercicis anteriors. Tal com vol donar a entendre la notícia, creus que la fortuna dels Pujol s'ha incrementat tant?. Per contestar a aquesta pregunta pots consultar aquesta web, o alguna de semblant que consideris més oportuna.





- Ara ens plantejarem un problema l'equació del qual, en principi, no saps resoldre, ja que es resol amb els logaritmes que explicarem més endavant.

El que se't demana és a veure si sabries, d'alguna manera, conèixer quant de temps necessita una població que té 100000 habitants per duplicar-se si creix un 9% anualment. Fixa't que la incògnita està a l'exponent això fa que l'equació sigui diferent de les que has pogut veure fins ara. Inventa't (o descobreix) un mètode alternatiu.




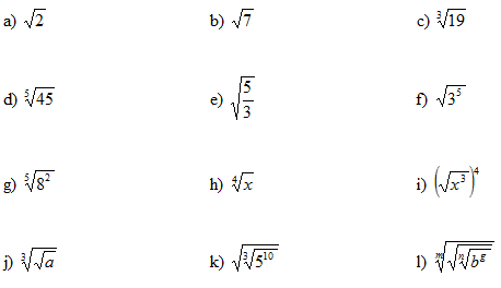
- Expressa les següents arrels en forma de potència:





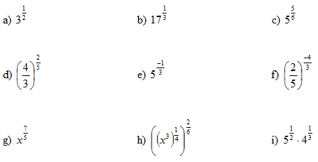
- Expressa les següents potències en forma de radicals:





- Expressa-ho en forma de potència:





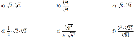
- Expressa com a potència única i simplifica:





- Redueix a un únic radical reduint a comú índex:





- Ordena de més petit a més gran reduint prèviament a índex comú





- Entreu-ho dins el radical:





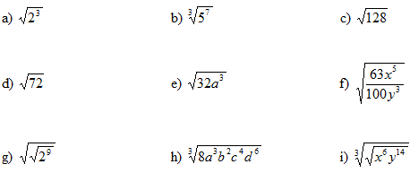
- Treu factors i simplifica si es pot:





- Simplifica:





- Expressa-ho com a potència única i com a radical:





- Racionalitza:





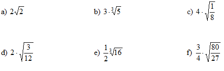
- Expressa-ho de la forma més simple possible:





- Racionalitza:





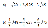
- Expressa-ho de la forma més simple possible: