3 ESO - Àlgebra. Sistemes d'equacions - Examen 2008/2009 - Tema 4

_______________________________________________________________

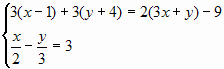
1-Resol pels 3 mètodes el següent sistema.




_______________________________________________________________

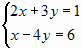
2-Resol el sistema següent:




_______________________________________________________________

3-Calcula dos nombres la suma dels quals sigui 202 i la diferència del primer menys el triple del segon sigui -114.




_______________________________________________________________

4-He comprat una camisa i dos pantalons que costaven 140 €. M’han fet un descompte del 10% a la camisa i un 20% als pantalons i he pagat 116€. Quan costava cada una de les dues peces de roba?



_______________________________________________________________

5-Un comerciant ven cafè de dues classes. Si en mesclem 3 Kg de la primera amb 2 Kg de la segona, obtenim un café de qualitat intermèdia que costa 7’2€/Kg. Però si en mesclem 4 kg de la primera classe amb 1 kg de la segona, costa 6’6€/Kg. Quin és el preu del Kg de cada classe de cafè?