Inici - Temes - Derivada d'una funció en un punt
Pàg. anterior
Pàg. 11
Pàg. següent
 
     
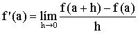
  L'expressió que hem vist de la derivada es pot escriure d'una altra forma. Cal fer un canvi de nom, x - a ho anomenem h i llavors x passa a ser a + h, i x a és equivalent a h 0 . No és més que un canvi de nom, però facilita una mica el càlcul del límit que cal fer per trobar la derivada.