Inici - Temes - Derivada d'una funció en un punt
Pàg. anterior
Pàg. 15
Pàg. següent
     
 
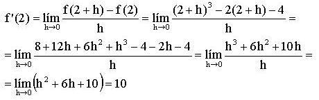
Per acabar, trobarem f'(a) utilitzant la definició. Donada f(x) = x3 - 2x, trobarem f'(2).
 
   
 
   

Aquest valor, recordeu, és la variació instantània de la funció f(x) en el punt d'abscissa x = 2; i a la vegada el pendent de la recta tangent a la corba f(x) en aquest punt. Finalment, podem escriure l'equació d'aquesta recta tangent, utilitzem la forma punt-pendent de l'equació de la recta: y - yo = m·(x - xo) on (xo, yo) és el punt per on passa i m és el pendent. Com que el punt per on passa és el punt (a, f(a)) i el pendent és f'(a), podem escriure, també, y - f(a) = f'(a)·(x - a) i, per tant, tenim

y - f(2) = f'(2)·(x - 2);     y - 4 = 10·(x - 2);       que en forma explícita és y = 10x - 16