4. Com s'anomena aquesta aldosa?:

3. Quina d'aquestes molècules és una aldosa?:

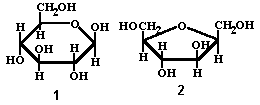
2. Quines d'aquestes molècules són aldoses?:

1. Quines d'aquestes molècules són aldoses?: