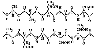
10. Quant enllaços ester hi ha?:

9. Quina funció té?:

8. Quina solubilitat té aquesta molécula?:

7. Quins grups funcionals afavoreixen al solubilitat en aigua d'aquesta molècula?:

6. Quant grups alcohol té?:

5. Amb quina molècula té una relació estructural més estreta?:

4. Quina molècula és?:

3. Quin és el monòmer que ha originat aquesta molècula?:

2. Classifica l'estructura d'aquesta molècula:

1. Quin tipus de principi immediat és aquesta molècula?: