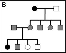
Els tres pedigrís que hi ha a continuació (A, B, C) corresponen a alteracions genčtiques hereditŕries. Els cercles representen femelles i els quadrats, els mascles. Els individus marcats amb color negre estan afectats per l’alteració i els ombrejats amb color gris són portadors d’aquesta (no afectats)-

5.Podrŕ la filla transmetre l’alteració genčtica a la seva descendčncia? Justifiqueu-ho:
Sí, la filla podrŕ transmetre l'alteració a la seva descendčncia ja que té un cromosoma Y i l'alteració es troba al cromosoma Y.
Sí, la filla podrŕ transmetre l'alteració a la seva descendčncia ja que té dos cromosomes X i l'alteració es troba al cromsoma X.
La filla no podrŕ transmetre l’alteració a la seva descendčncia ja que té un cromosoma Y i l’alteració es troba al cromosoma X.
La filla no podrŕ transmetre l’alteració a la seva descendčncia ja que té dos cromosomes X i l’alteració es troba al cromosoma Y.
4.Dibuixeu un pedigrí (fent servir els mateixos símbols amb els quč estan fets els de la figura) d’una família composta per una parella i tres fills (dos nens i una nena) en la que el pare estŕ afectat degut a una alteració en un gen present únicament al cromosoma Y:
Pedigrí D
Pedigrí E
Pedigrí F
3.Establiu el patró d’herčncia del pedigrí C i justifiqueu-ho la resposta
autosňmic recessiu
lligat al sexe dominant
lligat al sexe recessiu
autosňmic dominant
2.Establiu el patró d’herčncia del pedigrí B i justifiqueu-ho la resposta
autosňmic recessiu
lligat al sexe dominant
lligat al sexe recessiu
autosňmic dominant
1.Establiu el patró d’herčncia del pedigrí A i justifiqueu-ho la resposta:
autosňmic recessiu
lligat al sexe dominant
lligat al sexe recessiu
autosňmic dominant