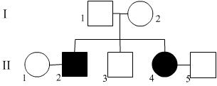
Aquest pedigrí mostra la transmissió de l’albinisme en una família. Aquesta malaltia hereditària consisteix en que una persona no pot fabricar melanina, el pigment que dona color fosc als pèls, els ulls, la pell...
 
  En un pedigrí els quadrats representen individus del sexe masculí i els cercles representen individus del sexe femení. Els individus que presenten albinisme es representen per figures negres i els que són normals per figures blanques. Les successives generacions s’indiquen amb nombres romans (I, II...). Els individus d’una mateixa generació s’indiquen amb nombres aràbics (1, 2, 3...).

15. És una malaltia genètica que afecta més a un sexe que a l’altre?:
No, afecta als individus dels dos sexes per igual.
Sí, afecta més alshomes que a les dones.
Sí, afecta més a les dones que als homes.

14. Si II-5 és heterozigòtic, quina és la freqüència fenotípica de la seva descendència?
100% normal.
50% normal i 50% albina.
100% albina.
75% normal i 25% albina.

13. Si l’individu II-1 és homozigòtic, quina és la freqüència fenotípica de la seva descendència?
100% normal.
50% normal i 50% albina.
100% albina.
75% normal i 25% albina.

12. Quins individus són, amb seguretat, heterozigòtics?:
I-1I-2
II-1II-2II-3II-4II-5

11. Quins individus són homozigòtics recessius?
I-1I-2
II-1II-2II-3II-4II-5

10. Quins individus poden formar gàmetes que tinguin el gen responsable de l'albinisme?
I-1I-2
II-1II-2II-3II-4II-5

9. Indica els genotips del tots els individus del pedigrí?
Homozigòtic dominantHeterozigòticHomozigòtic recessiu
I-1
I-2
II-1
II-2
II-3
II-4
II-5

8. Quins són tots els possibles genotips del caràcter que mostra el pedigrí?
Homozigòtic dominant.
Homozigòtic recessiu.
Heretozigòtic.
Normal (no albí).
Albí.

7. Creus que el gen de albinisme és dominant o recessiu?
És dominant, perquè la seva presència impedeix la síntesi de melanina.
És dominant, perquè reapareix en la segona generació.
És recessiu, perquè reapareix en la segona generació.
És recessiu, perquè només es manifesta si falta el gen dominant.

6. Quin genotip té individu I-1?:
Homozigòtic dominant.
Homozigòtic recessiu.
Heterozigòtic.
Normal (no albí).
Albí.

5. Quin fenotip té individu I-1?
Homozigòtic dominant.
Homozigòtic recessiu.
Heretozigòtic.
Normal (no albí).
Albí.

4. Quins fenotips pot presentar aquest caràcter genètic?:
Homozigòtic dominant.
Homozigòtic recessiu.
Heretozigòtic.
Normal (no albí).
Albí.

3. Quins homes són albins?:
I-1I-2
II-1II-2II-3II-4II-5

2. Quines dones són albines?:
I-1I-2
II-1II-2II-3II-4II-5

1. Quin caràcter genètic es mostra en aquest pedigrí?:
L'albinisme.
La presència o ausència de melanina.
El color fosc de la pell.
El color blanc de la pell.