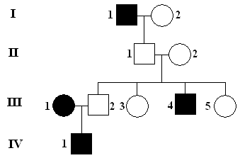
El pedigrí següent mostra la transmissió del daltonisme en una família. Aquesta malaltia hereditària està produïda per un gen recessiu (h) localitzat al cromosoma sexual X i consisteix en que una persona no pot diferenciar els colors vermell i verd.
 
 

15. Quina és la probabilitat de que III-1 i III-2 tinguin un fill daltònic?:
100%.
50%.
25%.
0%.

14. Fes l’encreuament d’una dona daltònica (III-1) i un home no daltònic (III-2)?:
50% dones normal (Dd) i 50% homes normals (DY).
50% dones normal (Dd) i 50% homes daltònics (dY).
50% dones daltòniques (dd) i 50% homes normals (DY).
50% dones normal (Dd), 25% homes normals (DY) i 25% homes daltònics (dY).

13. La parella I-1 i I-2 poden tenir una filla daltònica?:
No, perquè la filla no pot rebre el gen d del pare.
No, perquè la filla no pot rebre el gen d de la mare.
Sí, perquè la filla pot rebre el gen d d'ambdós progenitors.
Sí, perquè la filla por rebre el gen d del pare.

12. Quins individus del pedigrí són portadors del daltonisme?:
I-1I-2
II-1II-2
III-1III-2III-3III-4III-5
IV-1

11. Indica els genotips dels individus del pedigrí?
DDDdddDYdY
I-1
I-2
II-1
II-2
III-1
III-2
III-3
III-4
III-5
IV-1

10. Quins genotips poden correspondre al cercle blanc?
Dd
Dd
dd
dX
DX
DY
dY

9. Quin fenotip representa el cercle blanc?
Dona normal.
Dona daltònica.
Home normal.
Home daltònic.

8. Quins genotips poden correspondre al cercle fosc?
Dd
Dd
dd
dX
DX
DY
dY

7. Quin fenotip representa el cercle fosc?
Dona normal.
Dona daltònica.
Home normal.
Home daltònic.

6. Quins genotips poden correspondre al quadrat blanc?:
Dd
Dd
dd
dX
DX
DY
dY

5. Quin fenotip representa el quadrat blanc?
Dona normal.
Dona daltònica.
Home normal.
Home daltònic.

4. Quins genotips poden correspondre al quadrat fosc?:
Dd
Dd
dd
dX
DX
DY
dY

3. Quins cromosomes sexuals té una dona?:
XX
XY
YY
XO

2. Quins cromosomes sexuals té un home?:
XX
XY
YY
XO

1. Quin fenotip representa el quadrat fosc?:
Homozigòtic dominant.
Homozigòtic recessiu.
Heretozigòtic.
Home.
Dona.
Normal (no daltònic).
Daltònic.