Heus aquí el plantejament correcte: Primer cal que definim les quatre incògnites que se'ns plantegen per poder resoldre el problema:

Ara que ja hem definit les incògnites que utilitzarem, ja es poden presentar les equacions necessàries per resoldre la qüestió. Aquestes equacions són:

Ara es poden simplificar les equacions, per a que els números siguin més manejables:

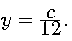
Ara pel mètode de reducció trobarem la y (tenim les dues prime-res equacions, on -135 és -9 vegades 15). Així les equacions queden:

D'on s'extreu que:

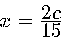
D'altra banda tornem a agafar les dues primeres equacions per-què són les úniques on no hi ha l'incògnita (que és el que busquem) i aïllarem x. No cal que ens preocupem de c perquè, com ja veurem després desapareixerà. Així les dues equacions, un cop arreglades, queden:

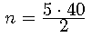
D'on s'arriba a la conclusió que:

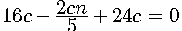
Ara només cal en la tercera equació, que era 16c-3nx+288y=0$, on hi ha x i y, pels valors que hem trobat:

simplificant:

com que les c estan tote multiplicant poden desaparéixer. Així, un cop simplificat:

aïllant la n resulta que:

n=100

El nombre de bous que caldran per menjar-se en 18 dies 96a és igual a 100.


Tornar a l'enunciat del problema
Tornar a la pàgina principal