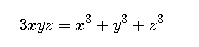
Solució

Deixem la fórmula inicial de la següent manera:
Investigant hem trobat que donats dos nombres qualssevol x i y i prenent z = -x-y obtenim els resultats demanats a la fórmula inicial. Comprovem, doncs, si aquest resultat és l'únic.

Per tal de resoldre el problema ens centrem en la incògnita Z i prenem la fórmula com si fos un polinomi de tercer grau.

Si agafem Z com a incògnita, això significa que 3xy i són coeficients del polinomi. Per a resoldre-ho, apliquem el mètode de Hörner per descompondre el polinomi i rebaixar-ne el grau. Com que Z = -x- y és una solució,
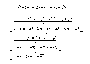
A partir d'això, tenim un polinomi de segon grau, que podem resoldre amb el mètode tradicional.
Com s'observa al resultat final, apareix un nombre no real, Per tant, si volem que el resultat sigui per a tots els nombres reals, x ha de ser igual a y per a que se'n vagi.

Tornar a l'enunciat del problema
Tornar a l'index de problemes
Tornar a la pàgina principal