De seguida vaig veure que el valor de l'últim nombre de cada fila tenía el valor d'elevar en número de fila al quadrat.

Després d'aquest raonament tant esgotador vaig haver d'anar a dormir però l'endemà vaig avançar una mica més.
Observant la construcció del gràfic vaig esbrinar quina relació hi havia entre el número de files i el número d'elements que la composa:

Al dia següent vaig observar quin era el valor del primer element de cada fila:

Aquesta expressió resulta de combinar les dues equacions escrites fins ara substituint el número d'elements de cada fila:

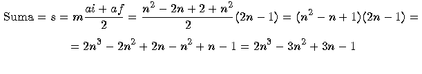
Però, la dada que ens interessa és el resultat de la suma de tots els elements de cada fila. Com a progressió geomètrica que és, podem aplicar la fórmula general de la suma de termes aplicant els nostres valors:

El resultat final era:
