Sèries de Fourier - 2
La sèrie de Fourier o desenvolupament de Fourier d'una funció f(x) es defineix per:

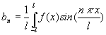
On els coeficients de Fourier són:

On 2l és el valor del període i n = 0,1,2,3,...
Apart calculem aquestos coeficients:
Els termes an valen 0 en tots els casos. La funció cos(x) és parell i la funció dent de serra és imparell. Com que hem de calcular la integral definida entre -l i l, aquesta sempre serà 0 (La demostració d'això no és per aquí).
Els termes bn són:
b1= 1.273076 b2= -0.636292 b3= 0.423922 b4= -0.317655 b5= 0.253829
El que farem a continuació és superposar els successius termes de la sèrie de Fourier damunt la funció dent de serra.
El primer terme : F1(x) = 1.273076 sin(px/2)
inici Següent
|