Matemàtiques 2n BAT - Exercicis de vectors

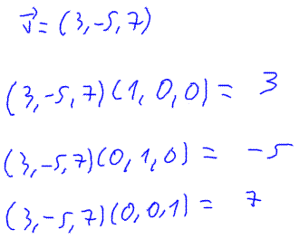
Calcula les projeccions ortogonals del vector (3, -5, 7) sobre els eixos de coordenades.