|
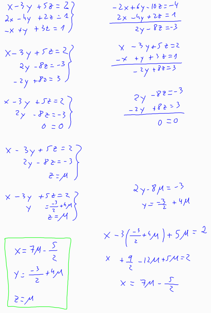
Sistemes d'equacions - Mètode de Gauss Què li passa (i quč hem de fer?) segons sigui d'un tipus o d'un altre, un sistema d'equacions lineals quan el resolem pel mètode de Gauss? Si el sistema és compatible determinat ![]() Si el sistema és compatible indeterminat ![]() Si el sistema és incompatible ![]() |