Exercicis sobre la concavitat i la convexitat, punts d'inflexió

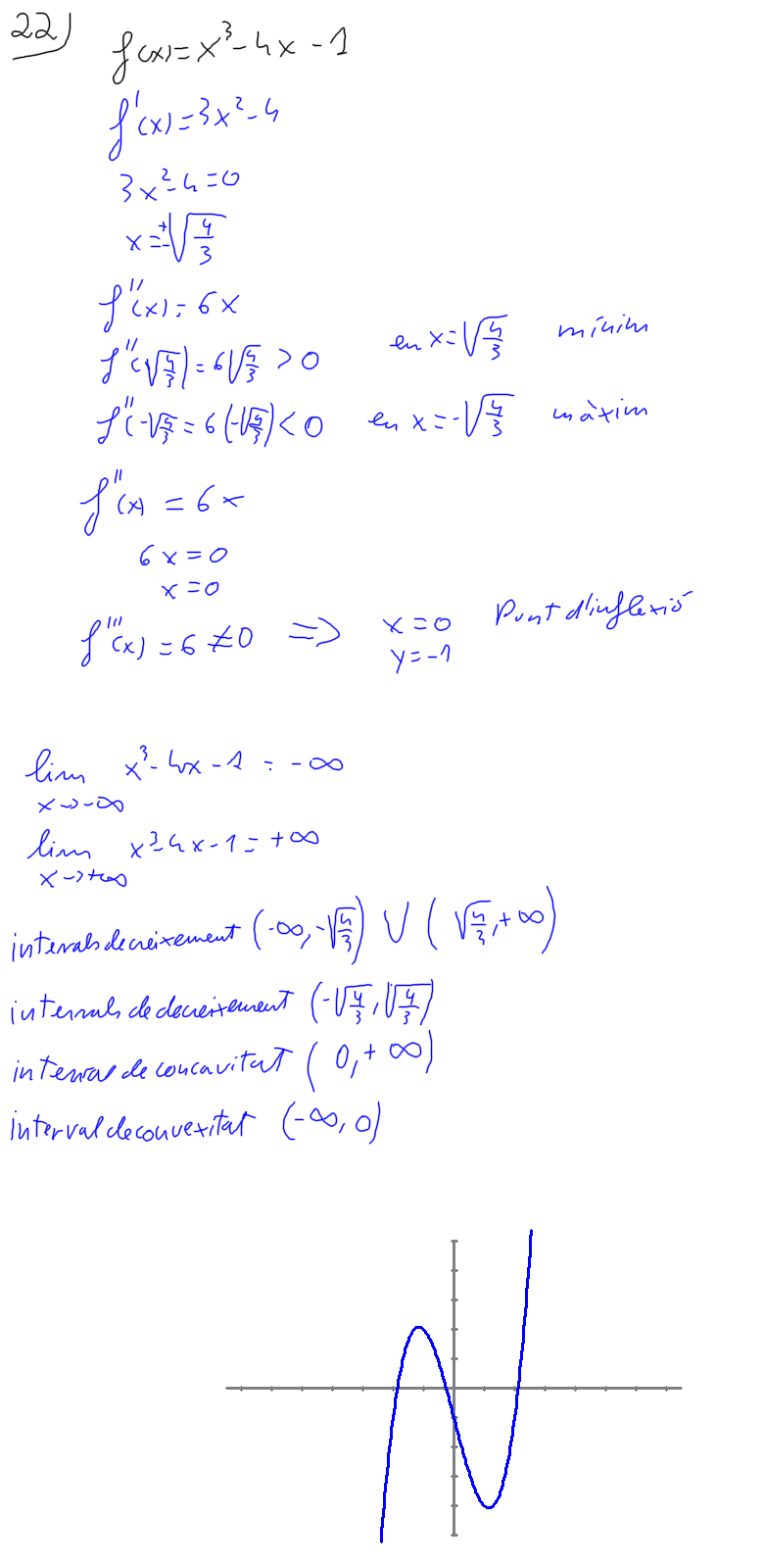
1-A partir de la funció f(x) = x3 - 4x - 1 troba els màxims, mínims, punts d'inflexió i digues els intervals de: creixement, decreixement, concavitat i convexitat.







2-Tenim la funció f(x) = ln(x2 + 1) indica els possibles màxims, mínims i punts d'inflexió.