Exercicis de càlcul de la integral indefinida pel mètode de canvi de variable

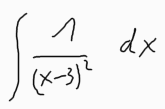
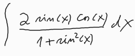
    1-


      solució


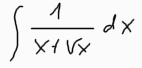
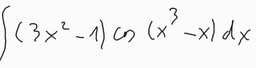
    2-


      solució


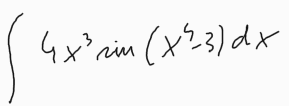
    3-


      solució


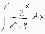
    4-


      solució


    5-


      solució


    6-


      solució


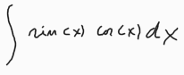
    7-Calcula la primitiva de la funció f(x) = sin(x)·cos(x) que passa pel punt (pi/2, 15/2).

      solució


    8-


      solució


    9-


      solució


    10-


      solució


    11-


      solució


    12-


      solució


    13-


      solució


    14-


      solució


    15-


      solució


    16-


      solució


    17-


      solució


    18-


      solució


    19-


      solució


    20-Calcula les asímptotes verticals de la funció:


      solució


    Integrals indefinides pel mètode del canvi de variable (substitució), no tant inmediat:

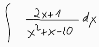
    21-


      solució


    22-


      solució


    23-


      solució


    24-


      solució


    25-


      solució


    26-


      solució


    27-


      solució


    28- Fora de concurs


      solució


    29-


      solució


    30-


      solució


    31-


      solució


    32-


      solució