Exercicis d'aplicació de la integral definida

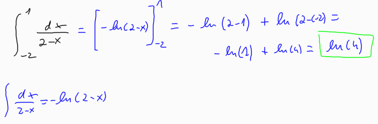
3-Calcula la següent integral definida: