Exercicis d'aplicació de la integral definida

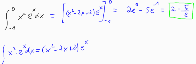
4-Calcula la següent integral definida:




Per calcular la integral indefinida fem servir aquest exercici.