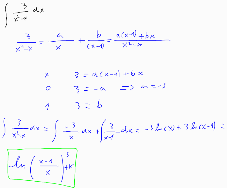
Exercicis de càlcul de la integral indefinida de fraccions racionals

8-