Recull d'exercicis de selectivitat. Geometria

(2009-setembre-1) 2. Considereu en l’espai les rectes r i s, les equacions respectives de les quals són:

,

en què m és un paràmetre real. Estudieu si hi ha cap valor d’aquest paràmetre per al qual les rectes siguin perpendiculars i es tallin.
[2 punts]

Per fer que les rectes siguin perpendiculars cal que ho siguin els seus vectors directors, per la qual cosa el que farem és calcular el vector director de la recta s.

Per fer-ho fem el producte vectorial dels vectors associats dels dos plans que la determinen.


Perquè els dos vectors directors siguin perpendiculars cal que el seu producte escalar sigui 0.

(m, 1, 1) ·(2-m, m-1, -1) = 2m - m2 + m - 1 - 1 = 0

-m2 +3 m - 2 = 0


Per trobar un vector de posició de la recta s podem donar un valor a una de les tres incògnites, per exemple a la z = 0 i resolem el sistema pels valors per de les incògnites x i y.


Per la qual cosa el punt de la recta s és (2, -1, 0)

I els vectors directors, (2-m, m-1, -1), si

m = 1

(1, 0, -1)

i si m = 2

(0, 1, -1)

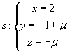
Les equacions paramètriques de les dues rectes són:

Si m = 1



Si aquest sistema té solució les dues rectes es tallen en un punt:

De s tenim:

y = -1

De r tenim:

y = 1 +

-1 = 1 +

= -2

Ho sigui de r tenim:

z = = -2

x = 4 + = 2

Si r i s és tallen de r el punt de tall ha de ser (2, -1, -2)

De s tenim

z = -

z = -2


= 2

i ja que

x = 2 + = 4

Si r i s és tallen de s el punt de tall ha de ser (4, -1, -2)

Vol dir que per m = 1 les dues rectes són perpendiculars però no es tallen en cap punt

Si m = 2



De s tenim:

x = 2

De r tenim

x = 4 + 2

2 = 4 + 2

= -1

Ho sigui

y = 0

z = -1

Si r i s és tallen de r el punt de tall ha de ser (2, 0, -1)

Per s:

z = -

= 1

i

y = -1 + = -1 + 1 = 0

Si r i s és tallen de s el punt de tall ha de ser (2, 0, -1)

Vol dir que per m = 2 les dues rectes són perpendiculars i es tallen en el punt (2, 0, -1)