Recull d'exercicis de selectivitat. Geometria

 

9.       

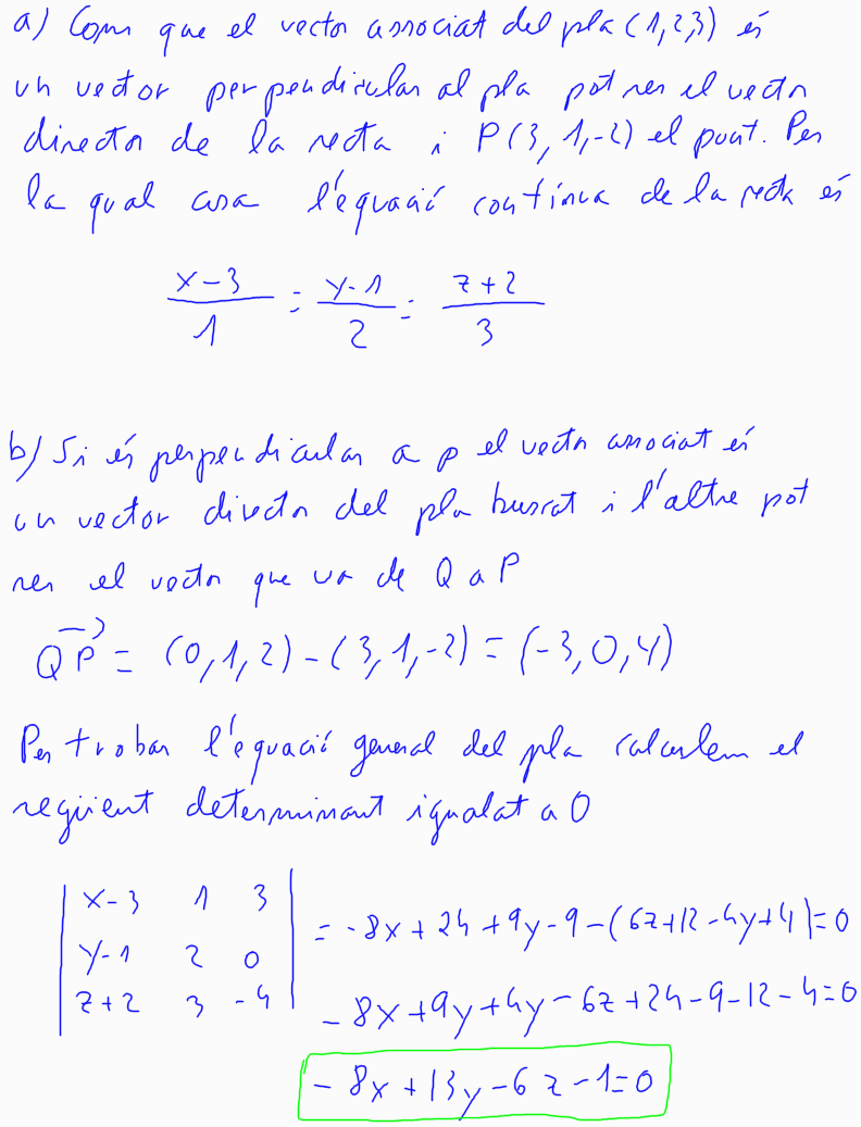
(2010-juny-4) 1. Donats el pla p: x + 2y + 3z - 4 = 0 i els punts P = (3, 1, -2) i Q = (0, 1, 2):

a) Calculeu l'equació contínua de la recta perpendicular al pla p que passa pel

punt P.

b) Calculeu l'equació general (és a dir, de la forma Ax + By + Cz + D = 0) del pla

perpendicular a p que passa pels punts P i Q.

[1 punt per cada apartat]