Recull d'exercicis de selectivitat. Integral Definida

2.       

(2009-juny-4) 5. La gràfica de la funció , des de x = 1 fins a x = 4, és la següent:


a) Calculeu l'equació de les rectes tangents a aquesta funció en els punts d'abscissa

x = 1 i x = 3.

b) Dibuixeu el recinte limitat per la gràfica de la funció i les dues rectes tangents

que heu calculat.

c) Trobeu els vèrtexs d'aquest recinte.

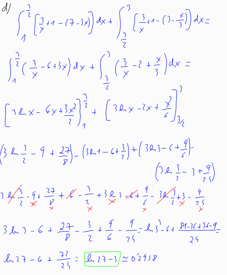
d) Calculeu la superfície del recinte damunt dit.

[1 punt per l'apartat a; 0,5 punts per l'apartat b; 1 punt per l'apartat c; 1,5 punts per l'apartat d ]