Recull d'exercicis de selectivitat. Integral Definida

11.   

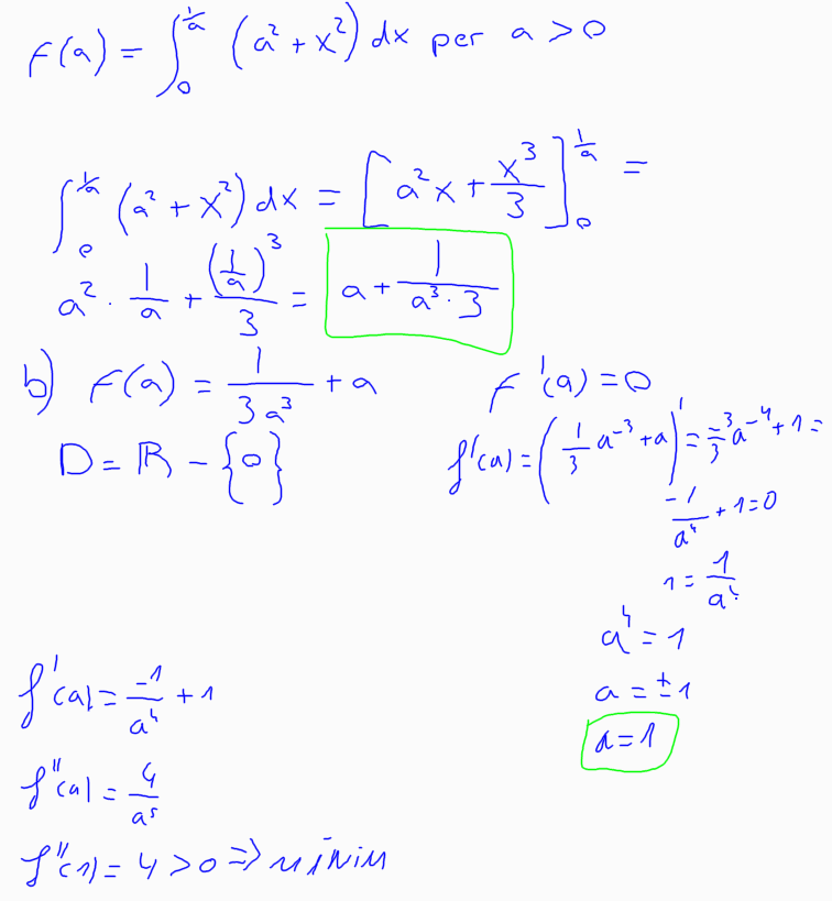
(2011-setembre-2) 6. Sigui per a>0.

a) Comproveu que


b) Calculeu el valor del paràmetre a perquè la funció f (a) tingui un mínim relatiu.

[1 punt per cada apartat]