Recull d'exercicis de selectivitat. Matrius

 

2.       

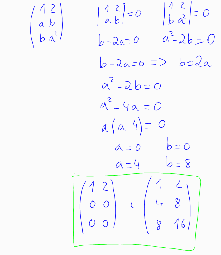
(2009-juny-3) 1. Considereu la matriu . Trobeu els valors dels paràmetres a i b perquè la matriu tingui rang 1.

[2 punts]