Recull d'exercicis de selectivitat. Matrius

 

4.       

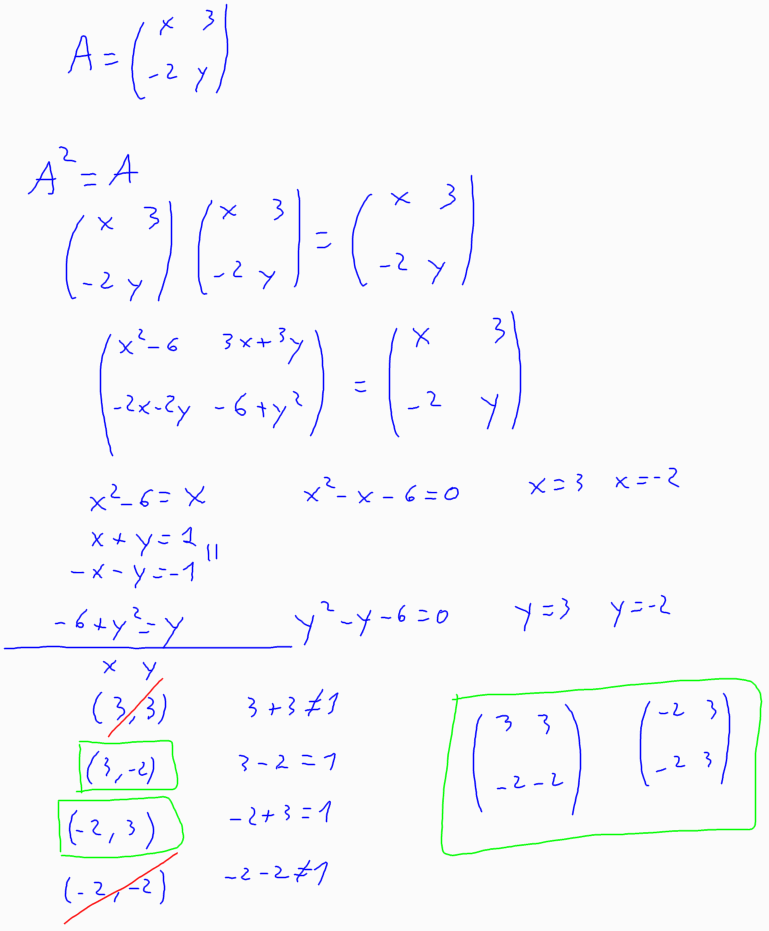
(2010-juny-1) 6. Sigui . Trobeu els valors de les variables x i y perquè es compleixi que A2 = A

[2 punts]