Recull d'exercicis de selectivitat. Matrius

 

5.       

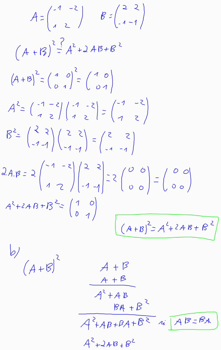
(2010-juny-4) 2. Considereu la igualtat matricial (A + B)2 = A2+ 2AB + B2

a) Comproveu si les matrius i compleixen o no la

igualtat anterior.

b) En general, donades dues matrius qualssevol A i B quadrades del mateix ordre,

expliqueu raonadament si hi ha alguna condició que hagin de complir perquè la

igualtat de l'enunciat sigui certa.

[1 punt per cada apartat]