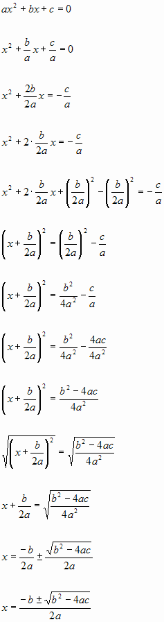
Matemàtiques - 3 ESO - Tema 3 - Demostració de la fórmula per la resolució d'equacions de segon grau:


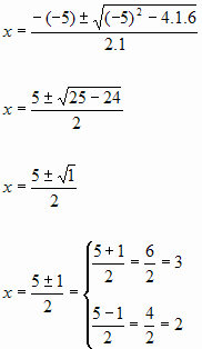
    Exemple resol la equació

    Mirem quins valors tenen: la a = 1 la b = -5 i la c = 6

    Apliquem la fórmula: