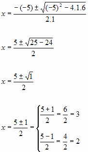
La fórmula per la resolució de les equacions de segon grau:

Exemple. Resol la equació:

Mirem quins valors tenen: la a = 1 la b = -5 i la c = 6

Apliquem la fórmula: