Matemàtiques - 4 ESO - Tema 2 - Polinomis


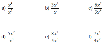
- Divideix els següents monomis:



- Divideix 3x3 - 4x2 + 2x - 1 entre x2 - 1.
Comprova el resultat amb la propietat, Divident = divisor · quocient + residu.




- Divideix els següents polinomis:
    a| (x4 + 3x2 - 5x) / x
    b| (4x5 + 2x3 + 6x2 + 8x + 3) / 2x
    c| (5x5 - 3x4 - 2x3 + 6x2 + 5x + 2) / (x - 2)
    d| (4x6 + 2x5 - 3x4 + 7x2 - 2x - 8) / (x2 + 2x)
    e| (x6 + 4x5 - 4x3 + 3x2 + 3x + 6) / (x2 - 2x + 3)
    f| (6x5 - 12x4 - 16x3 + 14x2 + 12x - 3) / (3x2 - 2)



- Divideix els següents polinomis fent servir la regla de Ruffini:
    a| (x4 + 3x2 - 5x) / (x - 3)
    b| (4x5 + 2x3 + 6x2 - 8x + 3) / (x + 2)
    c| (5x5 - 3x4 - 2x3 + 6x2 + 5x + 2) / (x - 1)
    d| (4x6 - 19x5 + 14x4 - 13x3 + 21x2 - 9x + 18) / (x - 4)
    e| (x6 + 4x5 - 4x3 + 3x2 + 3x + 6) / (x + 1)



- Calcula el valor numèric del polinomi P(x) pel número a que et donin. A continuació divideix el polinomi P(x) per (x - a):
    a| P(x) = x2 + 3x - 5 i a = 1
    b| P(x) = 2x2 - 3x + 2 i a = -2
    c| P(x) = -3x3 + x2 - 4x + 2 i a = 3
    d| P(x) = -x4 + 2x3 - 3x2 - 2x - 3 i a = 2
    e| P(x) = 5x7 - 10 i a = 2
    f| P(x) = x2 + 3x - 5/2 i a = 1/2 (o 0'5)



- Calcula el valor de k del polinomi x2 - 3x + k de manera que si el dividim per (x - 4) el resultat és exacte. Fes-ho de dues maneres diferents.




- Calcula el valor de k del polinomi x2 + kx - 6 sabent que si el dividim per (x + 2) el residu dóna 0. Fes-ho de dues maneres diferents.




- Calcula el valor de k del polinomi x3 + kx2 + 3x - 2 sabent que si el dividim per (x - 2) el residu dóna 3. Fes-ho de dues maneres diferents.




- Calcula:
    a| (x-1)·(x+2)
    b| (x-3)2
    c| (x-2)·(x+2)·x
    d| (x-1)2·(x-3)·3x
    e| (x2+1)·x2·(x-3)
    f| (x2+2x+2)·(x+3)·x3




- Factoritza els següents polinomis:
    a| x2+x
    b| x2-5x+4
    c| x4-2x3-3x2
    d| x2+x+1
    e| x3+4x2+x-6
    f| x4+2x3+3x2
    g| 3x2+15x+12
    h| 2x5+6x4-10x3-30x2+8x+24




- Escriu tres polinomis un de grau 2, un de grau 4 i l'altre de grau 5 i fes-ne la seva descomposició. Per fer-ho pots decidir quines arrels tindran i llavors construir el polinomi multiplicant.
Per exemple x·(x-2)2·(x+1)·(x+3).




- Digues si amb els següents parells de polinomis hi ha relació de divisibilitat, o sigui si el primer és divisor del segon:
    a| P(x) = x i Q(x) = x2+x
    b| P(x) = x-2 i Q(x) = x2+x-6
    c| P(x) = x-6 i Q(x) = x2+x-6
    d| P(x) = x2-4 i Q(x) = (x-2)·(x+2)
    e| P(x) = x2-5x+6 i Q(x) = x3-4x2+x+6




- Troba el Màxim Comú Divisor i el mínim comú múltiple de:
    a| P(x) = (x-1)·(x+2)2 i Q(x) = x·(x-1)3·(x+2)·(x-3)2
    b| P(x) = x2-x i Q(x) = x2-1
    c| P(x) = x i Q(x) = x+2
    d| P(x) = x2+x-6 i Q(x) = x2-3x+2
    e| P(x) = x4+x3-4x2-4x i Q(x) = x3-4x2+x+6




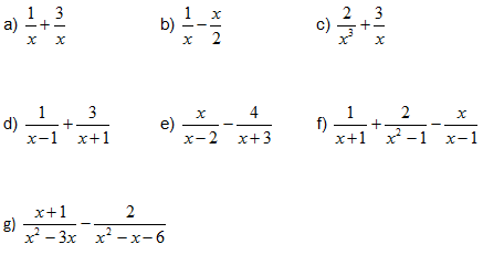
- Simplifica les següents fraccions algebraiques:



- Calcula les següents operacions amb fraccions algebraiques:



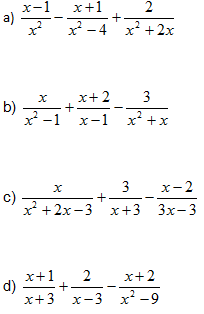
- Calcula (i simplifica, si es pot) les següents operacions amb fraccions algebraiques:



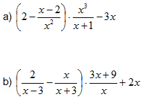
- Calcula (i simplifica, si es pot):



- Calcula (i simplifica, si es pot):