Inici - Temes - Derivada d'una funció en un punt
Pàg. anterior
Pàg. 8
Pàg. següent
     
 

A la taula de la pàgina anterior, els valors que hem posat eren més grans que 2, és a dir, s'acostaven a 2 per la dreta. Construeix ara una taula amb valors de x que s'acostin a 2 per l'esquerra, per exemple:

x
1,50
1,85
1,92
1,94
1,96
1,98
VM(2,x)
           

El gràfic no ens permet acostar-nos més, però si la x prengués valors encara més propers a 2, a qui creus que s'acostarien les velocitats mitjanes?

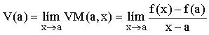
Aquest valor al que s'acosten les velocitats mitjanes és el que prenem com a velocitat instantània. Per tant V(2) = 3. El que hem fet no és més que un límit

Com que les rectes secants s'apropen cada vegada més a la tangent, el valor V(a ) és, també, el pendent de la recta tangent a f(x) en el punt d'abscissa x = a.